编辑导语:如果把城市当作产品,从产品经理的角度出发,深入讨论应该在大城市还是小城市生活,我们会得出哪些有趣的结论?本文作者对比分析了各个维度指标,得出大城市是个更好的选择这个结论,一起来看看吧。

选择生活的城市,对安土重迁的中国人来说,是人生起步的一件大事。大城市和小城市都有自己的拥趸,都能从自己的角度列举出一大堆的优点(比如小城市生活轻松、有很多个人的时间;大城市基础设施完善、发展空间大等等)和缺点(比如小城市人情复杂、发展落后;大城市房价贵、竞争压力大等等),都是大家从自己的生活经历中总结出的结论。
在本文中,我想将城市当做产品,从产品经理的角度,进行更深入的挖掘和客观阐述到底应该选择在大城市还是小城市生活。先说结论,客观上讲,大城市是个更好的选择。
一、宏观角度
我们先来看一些现象:
越是经济发达的国家,越是有完善的城市群。比如世界公认的六大城市群:美国东北部大西洋沿岸城市群、北美五大湖城市群、日本太平洋沿岸城市群、英伦城市群、欧洲西北部城市群、长江三角洲城市群。可以看出,基本代表了世界上最有分量的国家。
目前全球40个主要城市群的经济产出占到了世界经济总量的七成左右。在中国,三大城市群以5%左右的国土面积贡献了GDP总量的四成。
世界主要经济体的崛起都伴随着经济圈的形成。虽然很多年轻人都在谈逃离大城市,但是我国在十四五规划中,展壮大城市群和都市圈,我国共布局了19个国家级城市群。
可见,无论从历史还是我国发展规划来说,城市群仍是发展的重点,大城市仍能得到更多的资源、政策扶持,更有发展前途。那么在城市化弊端愈发显现的当下,国家为什么还要大力发展城市群?
推荐大家有时间一定要阅读杰夫里·维斯特《规模》,其从复杂性科学的角度,深刻的揭示了大城市的优势。以下观点主要来自该书。书中提出了规模缩放的非线性。
1. 超线性规模缩放
我们先来看几个重要的指标。



从上图可以看出,GDP、专业人才数量、专利数量会随人口增加,出现超线性的增长(β>1代表超线性增长)。其实不止以上数据,工资、财富、教育机构数量等,以及负面的犯罪率、艾滋病数量等也会出现超线性的增长。这些负面因素的超线性增长,就是大家看到的大城市的弊端。
这一伴随规模扩大而出现的系统性“附加值”奖励被经济学家和社会学家称作“规模收益递增”,而物理学家则会使用更加时髦的术语——“超线性规模缩放”(superlinear scaling)。
2. 亚线性规模缩放
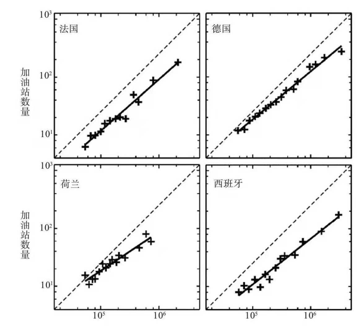
我们再来看另一组数据。

经过研究,我们惊奇的发现,与交通和供给网络相关的基础设施的数量也都以约0.85指数按比例缩放,如加油站、电线、道路、水管和燃气管道的总长度。即城市规模每增长一倍,只需要增加85%的物质基础设施。
有意思的是,平均来看,城市规模越大,越绿色,人均碳足迹越小。这个结论很反常识,因为大城市产生的碳排放总量太大了,所以大家直观上会认为大城市的更加不环保。
这一规模扩大带来的系统性节约被称作规模经济。而在规模经济中,规模越大,人均数量越少。这一比例关系被称作“亚线性规模缩放”(sublinear scaling)。
3. 大城市的优势
城市的超线性规模缩放,代表城市创新、生产能够随着人口增加而提高效率。城市的亚线性规模缩放,代表城市的物质基础设施会随着人口增长而降低成本。那么显而易见,大城市对国家来说一种更加有效的组织方式,(新网站快速收录软件),能够以更少的人均投入,获得更多的人均产出。
对于效率优先的人类社会,特大城市和城市圈无疑是更有效率的发展方式,因此将会得到更多的政策支持、资源倾斜,不断地吸引更多的人才涌入。
更加有趣的是,上述规律对生物体、公司、城市都起作用。因此城市是否也能被视作一只巨大的生物体呢?
作者认为城市并不仅仅是通过各种运输系统联系起来的建筑物和结构的物理体现,其实质是生活在其中的人,(抖音直播伴侣官网),他们为城市带来了活力、灵魂和精神,当我们参与一座成功城市的日常生活时,我们内心就会感受到这些难以言传的特点。
二、个人角度
也许你会质疑,即便城市规模越大对国家越有利,那么对个人有什么价值呢?
对个人来讲,城市规模越大,创建社会资本的方式便更具创新性,而普通公民的人均拥有量、生产量和消费量也就越大,无论是产品、资源还是观念。这对于城市而言是个好消息,也是城市如此具有吸引力和诱惑力的原因。但是另一方面还会带来节奏变快、犯罪率增高等负面效应。这又回到了文章开头的困境。
大城市可以类比为一款热门的网游,游戏体验丰富,玩家众多,竞争压力也大。小城市则是小钟网游,游戏简单,玩家较少,非常休闲。
1. 认知的价值
我个人认为,大城市对个人最重要的作用就是提高认知。
认知为什么重要呢?认知决定了个人、公司、城市乃至国家的前途和地位,我们一切的选择、行动都取决与我们的认知。在此可以类比为游戏的操作意识。
举个例子:
中国是一个“早熟”的文明,在先秦时期就出现了百家争鸣的思想、文化繁荣,秦汉时期更是形成了书同文、车同轨的大一统局面。这是华夏文明能绵延五千年不断绝的重要原因。
然而封建中国的认知主要处于朴素的经验主义。而文艺复兴为西方带来了认知层次更高的科学理性主义,于是西方国家取得了近代的世界主导权。
幸运的是,中国认知的底层是唯物主义的,中国人很快开始开眼看世界,师夷长技以制夷,开始吸收借鉴西方的先进理念,提升自我认知。认知溢出之后,中国的崛起又呈现出不可阻挡之势。
很多人认为出身是最重要的,能够很大程度决定一个人今后的人生轨迹。为什么出身对一个人有如此大的影响,(淘宝开店货源从哪里找),背后的原因是什么呢?答案就是人的认知。
物理基础决定上层建筑,现在有钱有权的家庭,要么是通过自己的高认知白手起家,要么要归功于认知高于常人先辈的荫庇。而出生在这样家庭的人,从小就能获得更多提升认知的机会。他们有更多接触高认知人的机会,能更广泛的接触事物,不必为生活所迫,有更多的时间花在思考、提升认知之上。所以说虎父无犬子。
又有说富不过三代,有很多富贵家庭忽视了对后辈的教育,让其生活在荫蔽之中,很难再有先辈那样艰苦奋斗、提高认知的机会。因此也不乏家道中落的案例。
认知达到一定高度之后,我们才能意识到世界的广博和个体的渺小、从本质入手分析问题多么的有效、时间比金钱更重要、选择比努力更重要、概率比直觉更可靠……
2. 大城市有利于认知提升
对于我们来说,融入到大城市的生活,用环境刺激自己的认知,是提升认知的最为有效的手段。
如果将城市视为生物体,那么大城市拥有更复杂的物质、信息网络。受益于非线性规模缩放,其具备了更高的认知(可以简单想象一下,(拼多多开店半个月没人),小城市就相当于猴子,大城市就相当于猩猩,后者比前者有更高的认知水平)。
作为大城市的一份子,你也能够分享大城市认知溢出带来的福利。
你能在不同的行业、公司中人任职,参与更加复杂的组织系统的分工协作,提升自己对分工协作的认知。
你在大城市能接触到不同文化背景的人,南方/北方、沿海/内陆、国内国外,提升自己对文化多样性的认知。
你能遇到更多优秀的人,如前文所述,富有、高知、有技术的人会在大城市有更高的比例,提升自己对知识、能力的认知。
你能接触到更多的新鲜事物,互联网、移动互联、人工智能等技术都是从大城市开始兴起,便利店、超市、shopping mall也是从大城市开始落地,提升你对变化适应能力的认知。
你甚至能有更多的娱乐手段,(快手运营怎么拉人),桌游、剧本杀等新鲜玩意也会先出现在大城市中,提升你对娱乐方式的认知。
我们再看一个更有说服力的例子。老年人相对来说,学习能力和好奇心会更弱,更不容易接触新鲜事物。
我查到了两组数据。
60岁及以上互联网使用者51.12%用户分布在一二线城市,48.88%分布在三四五线城市(《2020老年人互联网生活报告》)
2020年中国一二线城市人口占比分别为5.88%、24.39%
假定老年人比例相同(实际情况是一二线城市的60岁以上人口占比更少),那么60岁及以上互联网使用者占比在一二线城市至少是三四五线城市的4.3倍。
可见一二线城市的老人展现了对新鲜事物更早、更高的接受程度。
总之,选择了大城市,你能够更快的通过主动和被动的方式提升个人的认知。当你的认知相对所处的阶级溢出之后,那么你就会有更大的机会实现阶级跃迁。即使你这一代境遇改善不大,那么你也为后代提供了更好的提升认知的机会。
再举个实际的例子,作为教育工作者,我为超一线城市的孩子上过课,也为三四线城市的孩子服务过。不得不承认,同样作为当地的尖子学校,超一线城市的孩子在认知层面已经将三四线城市的孩子远远的甩在身后。
我接触到的超一线城市的孩子,有更多自己的想法,更善于表达自己,同时对编程、人工智能、艺术等有更多的涉猎,学习能力和接收新鲜事物的能力也要更强。
前文其实我有意美化了大城市的竞争。在本质上大城市相对于小城市来说,是个资源更加丰富、但是生存压力更大的“丛林”。自然界生物面对的是生存的选择压,在人类社会,人们面对的是认知的选择压。
选择了大城市,在享有更多机会的同时,也面临着更巨大的进化选择压力。上述大城市认知溢出既是福利,也是选择压,只有在竞争中不断提升自我认知、在认知竞争中胜出,才能更好地享受大城市生活带来的福利。就如同你在热门网游中,需要投入更多时间、精力去提升自己的操作和意识,承受了更多竞争压力,但是最终获得了更高的游戏技巧。
当然每个人都有选择自己生活方式的权利,上述分析只是基于更加普世的角度。那么,你是否愿意为了实现阶级的跨越而实现自己的认知溢出,并为此承受更多的竞争压力和痛苦呢?如果答案是肯定的,那么来到大城市是你更好的选择。
三、选哪个大城市
中国的大城市很多,未来会有更多。那么那里才是更佳的选择?
后面将从天时、地利、人和三个方面分析。在城市发展方面,是人和不如地利,地利不如天时。
1. 天时所向
什么是天时?在我们探讨的城市发展的问题上,天时就是指受生产力发展要求表现出的历史趋势,比如从狩猎时代、农耕时代、工业时代直到如今的信息时代。类比产品层面,就是战略层,是决定产品是否有价值的关键因素。
人类社会的科技、生产力、生产关系和社会关系等不断的由简单到复杂发展,人类的聚居形式对应的从部落、村落、城镇到城市群不断演化。可见城市群和特大城市是代表着历史的发展方向,是人类聚居形式的进化方向。
那么为什么天时要比地利重要呢?我们可以把视线拉回到上古时代。
为什么华夏文明发祥地在黄河流域呢?因为当时人的生产水平不足,而水稻相对需要精耕细作,付出同样的劳动力,水稻的收获较小。同时在夏朝的形成原因可能就是全球气候变暖,冰川消融,(淘宝直通车怎么开通?开通详细流程步骤),引发了黄河中下游的大洪水。治理这次变暖后大洪水引发的对人力物力的组织管理,为夏朝的建立创造了条件。
而到了秦汉唐时期,都城及重要城市多在关中地区。因为主要交通方式仍然是以陆路为主,关中地区除了土地富饶、易守难攻之外,更主要的是位于全境的适中位置,通过驿道实现对全境的统治。同时西方的丝绸之路是帝国对外的重要贸易道路。
到了两宋时期,因为农耕和水力技术的发展,水稻的种植得到了极大推广。同时河运的兴盛和海上贸易的兴起,帝国的经济中心逐渐南移,江淮地区的城市开始兴起。且两宋之后,随着生产力的发展,经济因素逐渐压倒政治军事因素,成为影响城市发展的主要因素。
元明清时期,南方得到进一步开发,海上贸易逐渐占据了主导地位,于是东南沿海城市得到了更好的发展机会,直到形成了如今的东西部发展不平衡的现状。
那么未来发展的趋势是什么呢?可以肯定的是,海洋资源仍然是争夺的主要对象。
随着民族主义的崛起,(京东开店费用多少费用标准),陆地已经被稳定的国家瓜分殆尽。
海洋广阔的空间,蕴藏的丰富的资源(渔业、石油、氚等)。
海运仍是人类经济贸易的主动脉,掌握了海洋就掌握了世界的话语权。
虽然我国提出了西部大开发、一带一路、发展成渝等内陆城市群的规划,但更多是一种权宜之计,因为目前海洋确实还是我们难以插手的地带。但是随着中国国力的崛起,沿海地区仍然会发挥愈加重要的作用。
而未来发展的最有潜力的方向是信息科技和空天科技。这些都是高科技密集型产业,人口密集的东部沿海三大城市圈,因为非线性规模缩放的优势,拥有更高的生产效率、比例和数量更多的人才、更全的产业链、更多的信息产生和积累等等。
人之道损不足以奉有余。虽然东部沿海三大城市圈已经发展到了非常巨大的规模,(拼多多开店生意好做吗),但仍是未来最具有发展潜力的地区。
2. 地利和人和
在人类获得移山填海的能力之前,地利仍然是人类定居需要考虑的因素。类比产品层面,就是范围层(城市定位、环境及能力等)和结构层(城市规划等)。人和则可类比为框架层(城市文化等)和表现层(排外程度等)
基于天时原因,我们将分析对象限定在三大城市圈的主要城市:上海、北京、深圳。
为了客观,我将逐一按照地利和人和的角度列表分析,用数据说话。地利不全指自然环境,我将城市的硬件设施、人口、经济指标等也归纳到了地利一类,因为其已经深深的与城市环境融为一体,且难以短时间改变。
地利(权重取1.5):GDP、GDP增长率、人口、人口增长率、人均可支配收入、人均GDP、周边环境、海运条件、房价、房价收入比、教育水平、医疗水平、城市规划、购物条件、空气质量、城市水质。
人和(权重取1):开放程度、公平程度、落户难度、公共服务满意度、历史文化底蕴、排外程度、美食。

从我列出的角度分析,三座城市的排名为上海(75.5)、深圳(61)、北京(54)。
1)GDP
衡量一个城市最主要的指标就是看GDP,以2018-2020年为例:

GDP总量:上海>北京>深圳
GDP增速:深圳>上海>北京
2)人口
把人口算作地利,是因为一个城市的人口与城市的土地面积、发展水平、政策等诸多原因相关。如前文分析,人口越多,城市的非线性规模缩放效应越明显。
人口增速则很大程度代表了城市未来发展的潜力。
人口总量:上海>北京>深圳
人口增速:深圳>北京>上海
3)人均收入
人均GDP越高,该城市平均每个人创造的价值越大;人均可支配收入越高,该城市平均每个人的收入越高。
人均可支配收入:上海>北京>深圳
人均GDP:深圳>北京>上海
4)周边环境
北京、上海和深圳分别处在我国非常重要的三大经济圈:
长三角、珠三角和环渤海。有句顺口溜曾经广为流传,上海带富了长三角,北京带不起京津冀。上海周边的江浙地区无论从富庶程度还是旅游条件,都在国内首屈一指。珠三角的富庶程度与长三角难分伯仲,但是由于地理的劣势,旅游资源远不如长三角。
周边环境:上海>深圳>北京
5)物流竞争力排名
物流是一个城市的经济动脉,物流的发展一
定程度上决定了城市的商品交换速度和财富创造速度。参考《2020中国城市物流竞争力报告》,指标包括吸引力指标(发展潜力指数、市场规模指数、枢纽布局指数、营商环境指数、安全绿色指数等)、辐射力指标(地理区位指数、市场覆盖指数、智慧物流指数、通达性指数、国际物流指数等)。
物流竞争力排名:上海>深圳>北京
6)房价
房价越高对年轻人越不友好,生活压力越大。
房价:上海>北京>深圳
7)房价收入比
从图标可以看出,对一个平均收入的人,想在城区的平均地段买一平米,需要至少需要奋斗1年多。奋斗一辈子买不起一套房所言非虚。
房价收入比:上海>北京>深圳。
8)教育水平
基础和中等教育不太好排,毕竟3地的教材版本、招生情况都不统一。高校水平还是比较合适的一个数据,一个是高校的水平确实能够影响一个城市未来人才的培养,还有就是标准统一。
根据《中国七大重点城市第四轮学科评估数量统计(A类学科)》(深圳未能检索到相关数据):

教育水平:北京>上海>深圳
这里由于差距明显,北京记3分,上海1分,深圳0分。
9)医疗水平
深圳依然拉胯,毕竟是新兴的城市,基础硬件短时间难以跟上,请允许我再给它一个0分。
医疗水平:北京>上海>深圳
10)城镇化程度
城镇化程度越高的城市,整体城市的生产关系越现代化、组织效率越高。因此城镇化程度越高越好。

城镇化程度:深圳>北京>上海
11)城市规划水平
这个指标个人也难以衡量,一个城市规划水平反映在很多方面。个人感觉是上海>深圳>北京。我个人的一些感受:
上海的规划是多中心,多点开花,而深圳主要都规划在关内,北京主要集中在2环内。
地铁里程也是按上海、北京、深圳排序的
上海和深圳公路的网状结构通行效率要优于北京
还好我也检索到了官方的数据,是由中发院发布的《中国城市建设水平排行榜》。
城市规划水平:上海>北京>深圳
12)购物
根据整体消费能力和购物中心实力排名,分别代表了城市的消费意愿和消费环境。
购物:上海>北京>深圳
13)环境条件
环境条件评估去与人身体健康息息相关的空气质量和水质,数据来源自2020年。
空气质量:深圳>上海>北京
水质的数据比较难找,官方公布的数据只有前30和后30。只查到了19年的数据《120重点城市水质公开指数》。
城市水质:北京>上海>深圳
14)开放程度

城市开放程度还是比较难衡量的,于是我引用了一个比较官方的数据,《2021全球重要城市开放数据指数》。主要指标包括基本保障层指数、开放质量层指数、用户使用层指数、价值释放层指数。
开放程度:上海>深圳>北京
15)公平程度
基尼系数是国际上通用的、衡量一个国家或地区居民收入差距的常用指标。城市基尼系数越小,表明收入分配越平等。数据敏感,只在某经管论坛论坛找到数据集《全国31省各省农村、城镇居民基尼系数分省统计(1990-2019)》
公平程度:深圳>上海>北京
16)落户难度
总结三座城市的落户政策,得出了落户的难易度。
落户容易度:深圳>上海>北京
17)公共服务满意度
城市基本公共服务满意度评价指标体系共涉及九大基本要素,即公共交通、公共安全、公共住、社保就业、医疗卫生、基础教育、环境保护、文化体育与公职
服务。榜单中上海、深圳分列7,8名,北京未上榜。
就我在上海的生活体验来说,整体感受确实还是不错的,公务人员、医生等都很好沟通,工作专业、服务态度良好。
公共服务:上海>深圳>北京
18)美食
美食还是要以质取胜,吃货们赶紧收藏榜单吧。
美食:上海>北京>深圳
19)历史文化底蕴
说到历史文化底蕴,相信大家不会有异议,北京3000余年历史、六朝古都,上海1000余年历史、中国近现代最大的经济中心城市,深圳主要历史还是在近40年,改革开放第一城。
历史文化底蕴:北京>上海>深圳
20)包容程度
说到排外程度,深圳无疑是对外地人最友好的,它本身就是一座移民城市,因此会更加开放和包容。
北京和上海在全国人民的眼中都是出了名的排外,是个难以说清的事情。在考虑这个问题的时候,我想大家应该还对2017年北京清退大量外来务工人员的事件,对外来务工人员是一次及其不友好的行动,因此我给排到第三名。
包容程度:深圳>上海>北京
综上所述,上海在我的评价指标下成为城市的最佳选择。当然,你还可以提高自己看重的纬度的权重,降低不在乎纬度的权重,(新手拼多多流量推广),最后得到适合自己的分数。
我们可以还可以看出,每一个城市都是由每个城市的参与者共同打造的一款各具特色的产品。上海的繁华精致,深圳的开放进取,北京的古都风韵,还有其它城市也各有千秋。没有最好的产品,只有最适合的产品,根据个人的喜好选择城市,似乎是一种更好的选择。
,(快手直播反复播放录像)

